Геометрия | 5 - 9 классы
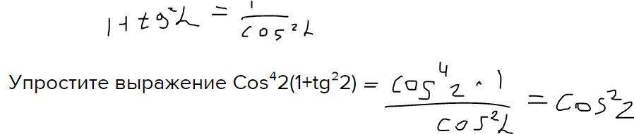
Упростите выражение Cos⁴2(1 + tg²2).

A)sin²2 + cos²2 + tg²2 - 1 / cos²2b)(tg2×ctg2 - cos²2)×1 / sin²2СРОЧНОО 45 БАЛЛОВ?
A)sin²2 + cos²2 + tg²2 - 1 / cos²2
b)(tg2×ctg2 - cos²2)×1 / sin²2
СРОЧНОО 45 БАЛЛОВ.

Дам 35 балів?
Дам 35 балів!
1) sin 300 + cos 120° ; 2) √3tg 60° ; 3) cos 1350.
Sin 135°.

Обчисліть cos 150° sin 120°?
Обчисліть cos 150° sin 120°.

2 + sin ^ 2a + cos ^ 2aпомогите?
2 + sin ^ 2a + cos ^ 2a
помогите.

Найдите значение выражения : 3 ctg 90° - 4 sin 30° + 60 cos 60°Буду вам благодарна ❤️❤️❤️?
Найдите значение выражения : 3 ctg 90° - 4 sin 30° + 60 cos 60°
Буду вам благодарна ❤️❤️❤️.

Sin 12° cos13° + cos 12° sin 13°упростить выражение?
Sin 12° cos13° + cos 12° sin 13°
упростить выражение.

Порівняти з нулем : sin 110 cos 90°?
Порівняти з нулем : sin 110 cos 90°.

Користуючись рисунком знайдіть cossin?
Користуючись рисунком знайдіть cos
sin.

6 sin 90° - 3 cos 180°?
6 sin 90° - 3 cos 180°.
Если вам необходимо получить ответ на вопрос Упростите выражение Cos⁴2(1 + tg²2)?, относящийся к уровню подготовки учащихся 5 - 9 классов, вы открыли нужную страницу. В категории Геометрия вы также найдете ответы на похожие вопросы по интересующей теме, с помощью автоматического «умного» поиска. Если после ознакомления со всеми вариантами ответа у вас остались сомнения, или полученная информация не полностью освещает тематику, создайте свой вопрос с помощью кнопки, которая находится вверху страницы, или обсудите вопрос с посетителями этой страницы.

Ответ :
Объяснение :
вот.